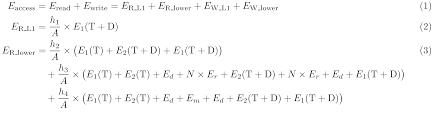
Kataweb.it – Blog – tranxontologiax » Blog Archive » ontologyax
Vite Parallele - Teseo - par. 1
Traduzione delle « Vite Parallele » di Plutarco
Ὥσπερ ἐν ταῖς γεωγραφίαις, ὦ Σόσσιε Σενεκίων, οἱ ἱστορικοὶ τὰ διαφεύγοντα τὴν γνῶσιν αὐτῶν τοῖς ἐσχάτοις μέρεσι τῶν πινάκων πιεζοῦντες, αἰτίας παραγράφουσιν ὅτι 'τὰ δ' ἐπέκεινα θῖνες ἄνυδροι καὶ θηριώδεις', ἢ 'πηλὸς ἀιδνής', ἢ 'Σκυθικὸν κρύος', ἢ [2] 'πέλαγος πεπηγός', οὕτως ἐμοὶ περὶ τὴν τῶν βίων τῶν παραλλήλων γραφὴν τὸν ἐφικτὸν εἰκότι λόγῳ καὶ βάσιμον ἱστορίᾳ πραγμάτων ἐχομένῃ χρόνον διελθόντι, περὶ [3] τῶν ἀνωτέρω καλῶς εἶχεν εἰπεῖν 'τὰ δ' ἐπέκεινα τερατώδη καὶ τραγικά, ποιηταὶ καὶ μυθογράφοι νέμονται, [4] καὶ οὐκέτ' ἔχει πίστιν οὐδὲ σαφήνειαν.' ἐπεὶ δὲ τὸν περὶ Λυκούργου τοῦ νομοθέτου καὶ Νομᾶ τοῦ βασιλέως λόγον ἐκδόντες, ἐδοκοῦμεν οὐκ ἂν ἀλόγως τῷ Ῥωμύλῳ προσαναβῆναι, πλησίον τῶν χρόνων αὐτοῦ τῇ ἱστορίᾳ γεγονότες, σκοποῦντι δέ μοι
τοιῷδε φωτὶ (κατ' Αἰσχύλον) τίς ξυμβήσεται; (Sept. 435)
τίν' ἀντιτάξω τῷδε; τίς φερέγγυος; (Sept. 395, 396)
[5] ἐφαίνετο τὸν τῶν καλῶν καὶ ἀοιδίμων οἰκιστὴν Ἀθηνῶν ἀντιστῆσαι καὶ παραβαλεῖν τῷ πατρὶ τῆς ἀνικήτου καὶ μεγαλοδόξου Ῥώμης. εἴη μὲν οὖν ἡμῖν ἐκκαθαιρόμενον λόγῳ τὸ μυθῶδες ὑπακοῦσαι καὶ λαβεῖν ἱστορίας ὄψιν· ὅπου δ' ἂν αὐθαδῶς τοῦ πιθανοῦ περιφρονῇ καὶ μὴ δέχηται τὴν πρὸς τὸ εἰκὸς μεῖξιν, εὐγνωμόνων ἀκροατῶν δεησόμεθα καὶ πρᾴως τὴν ἀρχαιολογίαν προσδεχομένων.
Come i geografi, o Sossio Senecione, comprimendo nei loro atlanti ai margini delle tavole le nozioni che sfuggono alla loro conoscenza, ne segnano la causa scrivendo : «le zone al di là sono deserti di sabbia, senz'acqua e popolate da bestie feroci», oppure : « scure paludi» o «gelo di Scizia » o anche « mare ghiacciato », così, dopo aver percorso nella composizione delle «Vite Parallele» tutto il tempo che può essere raggiunto da una conoscenza verosimile e che sia accessibile a una ricerca fondata sui fatti, per quanto riguarda i tempi più antichi, a me è risultato a proposito dire: «Le vicende "al di là", fatti prodigiosi e drammatici, sono i poeti e i narratori di miti che se ne occupano, e non presentano né attendibilità né sicurezza».
Ma dopo aver pubblicato la «Vita di Licurgo» il legislatore, e del re Numa, mi sembrava non irragionevolmente di poter risalire sino a Romolo, essendo arrivato con la mia storia vicino ai suoi tempi. E a me che riflettevo :
«Chi a siffatto uomo (per dirla con Eschilo) potrà stare a confronto? (Sette contro Tebe 435)
Chi gli porrò di contro? Quale antagonista? » (Sette contro Tebe 395, 396)
[5] parve bene di mettere a confronto e di paragonare col padre dell'invitta e gloriosa Roma il fondatore della bella e celebrata Atene. Esprimo l’augurio che l'elemento mitologico, da me depurato, sottostia a quello razionale e assuma l’aspetto di storia. Ma se audacemente esso contrasterà l'attendibilità e non ammetterà commistione con verosimiglianza, chiederò indulgenza a lettori concilianti, che accolgono con serenità il racconto di fatti che appartengono a tempi remoti.
Video appunto correlato
τίν' ἀντιτάξω τῷδε; τίς φερέγγυος; (Sept. 395, 396)
[5] ἐφαίνετο τὸν τῶν καλῶν καὶ ἀοιδίμων οἰκιστὴν Ἀθηνῶν ἀντιστῆσαι καὶ παραβαλεῖν τῷ πατρὶ τῆς ἀνικήτου καὶ μεγαλοδόξου Ῥώμης. εἴη μὲν οὖν ἡμῖν ἐκκαθαιρόμενον λόγῳ τὸ μυθῶδες ὑπακοῦσαι καὶ λαβεῖν ἱστορίας ὄψιν· ὅπου δ' ἂν αὐθαδῶς τοῦ πιθανοῦ περιφρονῇ καὶ μὴ δέχηται τὴν πρὸς τὸ εἰκὸς μεῖξιν, εὐγνωμόνων ἀκροατῶν δεησόμεθα καὶ πρᾴως τὴν ἀρχαιολογίαν προσδεχομένων.
Come i geografi, o Sossio Senecione, comprimendo nei loro atlanti ai margini delle tavole le nozioni che sfuggono alla loro conoscenza, ne segnano la causa scrivendo : «le zone al di là sono deserti di sabbia, senz'acqua e popolate da bestie feroci», oppure : « scure paludi» o «gelo di Scizia » o anche « mare ghiacciato », così, dopo aver percorso nella composizione delle «Vite Parallele» tutto il tempo che può essere raggiunto da una conoscenza verosimile e che sia accessibile a una ricerca fondata sui fatti, per quanto riguarda i tempi più antichi, a me è risultato a proposito dire: «Le vicende "al di là", fatti prodigiosi e drammatici, sono i poeti e i narratori di miti che se ne occupano, e non presentano né attendibilità né sicurezza».
Ma dopo aver pubblicato la «Vita di Licurgo» il legislatore, e del re Numa, mi sembrava non irragionevolmente di poter risalire sino a Romolo, essendo arrivato con la mia storia vicino ai suoi tempi. E a me che riflettevo :
«Chi a siffatto uomo (per dirla con Eschilo) potrà stare a confronto? (Sette contro Tebe 435)
Chi gli porrò di contro? Quale antagonista? » (Sette contro Tebe 395, 396)
[5] parve bene di mettere a confronto e di paragonare col padre dell'invitta e gloriosa Roma il fondatore della bella e celebrata Atene. Esprimo l’augurio che l'elemento mitologico, da me depurato, sottostia a quello razionale e assuma l’aspetto di storia. Ma se audacemente esso contrasterà l'attendibilità e non ammetterà commistione con verosimiglianza, chiederò indulgenza a lettori concilianti, che accolgono con serenità il racconto di fatti che appartengono a tempi remoti.









